
问题
与鼻拭子标本相比,自取和医护人员(HCW)采集的咽拭子标本是否能提高 COVID-19 快速抗原检测的准确性?
研究结果 在这项多中心随机临床试验中,2941 名参与者(其中 2674 人数据完整)接受了快速抗原检测,医护人员采集的咽拭子比鼻腔标本的灵敏度更高;自采的咽拭子和鼻腔标本之间没有差异。在鼻腔标本中加入咽喉标本进行单独的快速抗原检测,可提高医务人员和自采标本的灵敏度。
这意味着在进行COVID-19快速抗原检测时,HCW采集的咽喉标本可能比HCW采集的鼻腔标本具有更高的灵敏度,而自采标本的灵敏度可能会因合并鼻腔和咽喉标本而提高。
摘要
重要性 自采或医护人员(HCW)采集的鼻拭子标本是进行COVID-19快速抗原检测的首选采样方法,但咽喉标本能否提高检测灵敏度还存在争议。
目的 比较自取和医护人员采集的鼻拭子标本与咽拭子标本在 COVID-19 快速抗原检测中的诊断准确性。
设计、地点和参与者 该按方案多中心随机临床试验于 2022 年 2 月 15 日至 3 月 25 日进行。参与者为 16 岁或以上出于诊断或筛查目的要求进行 COVID-19 检测的个人,他们在丹麦哥本哈根的 2 个城市 COVID-19 门诊检测中心中的 1 个采集了 4 份标本进行单独检测。
参与者按 1:1 的比例被随机分配到自采或人机工程学家采集的鼻腔和咽喉拭子标本中进行快速抗原检测。此外,还采用人机工程学家采集的鼻腔和咽喉拭子标本进行逆转录酶聚合酶链反应(RT-PCR)作为参考标准。
主要结果和测量指标 主要结果是与 RT-PCR 相比,自取与 HCW 采集的鼻腔和咽喉标本进行快速抗原检测诊断 COVID-19 的灵敏度。
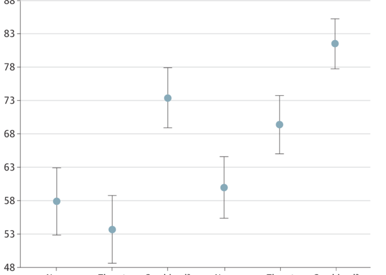
结果 在登记的 2941 名参与者中,2674 人(90.9%)有完整的检测结果并被纳入最终分析(1535 人[57.4%]为女性;中位年龄 40 岁[IQR,28-55 岁]);1074 人(40.2%)有 COVID-19 症状,827 人(30.9%)经 RT-PCR 检测为 SARS-CoV-2 阳性。与医护人员采集的鼻腔标本相比,医护人员采集的咽喉标本对快速抗原检测的平均灵敏度更高(69.4% [95% CI, 65.1%-73.6%] vs 60.0% [95% CI, 55.4%-64.5%] )。然而,对无症状参与者进行的亚组分析发现,自取鼻腔标本比自取咽喉标本对快速抗原检测更敏感(平均敏感度为 71.5% [95% CI, 65.3%-77.6%] vs 58.0% [95% CI, 51.2%-64.7%]; P < .001)。与单一鼻腔标本相比,合并鼻腔和咽喉标本可将人机工程人员和自采标本的敏感性分别提高 21.4 和 15.5 个百分点(P 均 < .001)。
结论和相关性 这项随机临床试验发现,与鼻腔标本相比,单个高危工人采集的咽喉标本对 SARS-CoV-2 抗原快速检测的敏感性更高。相比之下,对于有症状的参与者,自取鼻腔标本的灵敏度高于咽喉标本。在采集单一鼻腔标本的标准做法中增加咽喉标本,可提高医疗保健和家庭环境中快速抗原检测的灵敏度。



图 2. 自取和医护人员(HCW)采集的鼻腔和咽喉标本对快速抗原检测的敏感性

图 3. 通过逆转录酶聚合酶链反应 (RT-PCR) 循环阈值检测自采和医护人员 (HCW) 采集的鼻腔和咽喉标本的快速诊断抗原检测 (RDT) 阳性结果所占百分比。
这项随机临床试验发现,与医护人员采集的鼻腔标本相比,医护人员采集的咽喉标本的 SARS-CoV-2 快速抗原检测灵敏度明显更高。相比之下,对于有症状的参与者,自取鼻腔标本的灵敏度高于自取咽喉标本。在单个鼻腔拭子的标准做法基础上增加一个咽喉拭子,可能会提高采集和自采标本用于快速抗原检测的灵敏度。
据我们所知,我们的研究首次证明,HCW采集的咽喉标本用于 COVID-19 快速抗原检测的灵敏度明显高于HCW采集的鼻腔标本。我们的研究结果与之前的一项研究结果形成鲜明对比,该研究发现咽喉标本用于快速抗原检测的灵敏度较低,仅为 36.8%(而我们的研究结果为 69.4%)。然而,研究者仅对该研究 731 名参与者中的 115 名小亚组进行了咽喉拭子检测,样本技术不理想可能是灵敏度较低的原因。我们的研究结果还表明,咽喉样本采集技术比鼻腔样本采集技术更具挑战性,因为我们发现,与 HCW 采集的咽喉样本相比,自采咽喉样本的灵敏度较低,快速抗原检测结果不确定的数量较多。相比之下,人机工程人员采集的鼻腔标本与自采集的鼻腔标本并无差异。不过,我们相信自取咽拭子可以安全地进行,因为我们没有观察到任何不良事件(如呕吐或窒息)。
与高危人群采集的鼻腔标本相比,高危人群采集的咽喉标本的快速抗原和 RT-PCR 检测的 SARS-CoV-2 检出率更高,与此形成鲜明对比的是,我们发现高危人群采集的鼻腔标本的平均 Ct 值低于高危人群采集的咽喉标本。我们的亚组分析还显示,与鼻腔标本相比,咽喉标本的快速抗原和 RT-PCR 检测灵敏度较高的主要是无症状参与者和病毒载量较低者(Ct 值为 20-34)。在 Omicron 变体之前进行的一项研究也发现,与鼻咽标本相比,无症状参与者的咽喉标本对 SARS-CoV-2 的分子检测率更高。此外,一项实验性实验室研究也发现,与鼻腔标本相比,咽喉标本的初始诊断灵敏度更高。这些结果表明,在 COVID-19 大流行期间,口咽粘膜的组织滋养性可能比以前想象的要高。相反,我们的亚组分析表明,对于检测前几天有症状的参与者,鼻腔标本的灵敏度与咽喉标本相当或高于咽喉标本。这与病毒载量较高有关,可能是因为在感染后期,SARS-CoV-2 在鼻黏膜中的复制比在咽喉中更大规模。
与其他研究一致,我们发现自取和高危人群采集的鼻腔标本对快速抗原检测的灵敏度相当。然而,我们的研究还发现,在当前鼻拭子建议的基础上增加咽拭子会使自采标本的快速抗原检测灵敏度提高 15.5 个百分点。这些研究结果与美国食品及药物管理局的建议形成鲜明对比,该局建议不要使用咽喉标本进行快速抗原检测,因为目前的检测方法只授权使用鼻腔标本。重新设计目前的快速抗原检测方法,将咽喉标本纳入其中,将增加医疗制造商的成本和家庭快速抗原检测的复杂性。然而,先前的研究表明,在视频指导下,可以安全地自行采集鼻腔和咽喉标本,英国国民健康服务局已将自行采集的咽喉标本纳入快速抗原检测。进一步的研究应使用重新设计的和其他快速抗原检测设备来证实我们的研究结果,并探讨咽喉标本是否也能提高其他常见气道感染的检测水平。
本研究的主要优点是随机设计和样本量大,最终分析包括 2674 名参与者。该研究收集的鼻腔和咽喉标本分别通过 RT-PCR 进行分析,以确保为感染 SARS-CoV-2 的参与者提供高度准确的参考标准。然后用来自相同解剖部位的样本进行快速抗原检测,以确保对样本类型和采集方法进行正面比较。
本研究的局限性包括:由于快速抗原检测结果是由HCW解释的,因此家庭检测的诊断性能可能较低。另一个局限性是,我们不能直接将所报告的鼻腔和咽喉标本综合灵敏度(通过将鼻腔和咽喉标本的单独快速抗原检测结果相加估算得出)推广到使用相同拭子采集两种标本的情况。最后,应用了两个不同的实验室进行 RT-PCR 分析,因此很难直接比较不同分子分析的 Ct 值。不过,对在同一实验室进行鼻腔和咽喉 RT-PCR 检测的参与者进行的亚组分析证实了我们的总体结论。